每当我们遇到数据库查询耗时过长,总会第一时间想到,在经常使用的条件上添加索引。我们知道索引会帮我们更快地查询到想要的数据,但是我们真的清楚究竟什么是索引,为什么索引能帮我们将查询时间缩短十倍百倍甚至更多吗?接下来请大家根据下文,一起深入索引的世界吧。
什么是磁盘 IO?
磁盘读取数据靠的是机械运动,一般来说,一次读取数据的时间 = 寻道时间 + 旋转延迟 + 传输时间。


名词解释
什么是预读?
因为磁盘 IO 是非常昂贵的操作,所以计算机系统对此做了一些优化,当一次 IO 时,不光把当前磁盘地址的数据,而是把相邻的数据也都读取到内存缓冲区内,因为局部预读性原理告诉我们,当计算机访问一个地址的数据的时候,与其相邻的数据也会很快被访问到,所以每次读取页的整数倍(通常一个节点就是一页)。
定义
索引是帮助 MySQL 高效获取数据的数据结构。总结一下,索引是一种排好序的数据结构。(引用自:http://blog.csdn.net/zq602316498/article/details/39323803)
索引存储在文件里,如下图所示(针对 InnoDB 而言):

InnoDB 的索引和数据都存放在同一文件中,而 MyIsAm 的索引和数据分别存放在不同的文件中。
我们知道,MySQL 的 InnoDB 引擎下的索引数据结构为 B+tree 和 hash,为什么在这么多数据结构中会选择 B+tree 和 hash 呢?
首先我们先来了解一下以下四种数据结构(不会详细分析,毕竟主题是 MySQL 索引)。
1. 二叉树
特征:要保证父节点大于左子结点,小于右子节点。
极端情况下会产生如下所示的树:

2. 平衡二叉树(AVL)
特征:它或者是一颗空树,或者具有以下性质的二叉排序树:它的左子树和右子树的深度之差 (平衡因子) 的绝对值不超过 1,且它的左子树和右子树都是一颗平衡二叉树。

随着数据的不断增加,虽然平衡二叉树在二叉树的基础上做了优化,但是树的高度还是会增加并且不可控。
3. 红黑树
特征:红黑树,Red-Black Tree 「RBT」是一个自平衡 (不是绝对的平衡) 的二叉查找树 (BST),树上的每个节点都遵循下面的规则:

和平衡二叉树一样,在数据量很大的情况下,红黑树也无法保证树的高度。
4. B 树
特征(参考《数据结构》) :
一颗 m=3 阶的 B 树如下所示:

B-tree 又做了优化,可以在磁盘容量允许的情况可控树的高度。
但是,B-tree 每个节点都保存了数据,因此在每一个磁盘页中所能存放的节点数就变得少了,而 B+tree 的中间节点不保存数据,所以磁盘页能容纳更多节点元素,更“矮胖”,将高度降得越低。
一个 m 阶 B+ 树的性质(和 B 树有一些共同点,但是 B+ 树具备一些新的特性):
下图是一个 3 阶 B+ 树:

B+ Tree 的优点
查询单个元素:
范围查询:
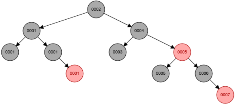
从文首可知,从 MySQL 获取数据消耗的时间主要是 IO 操作消耗的时间,因此减少 IO 操作次数,才能缩短获取数据需要的时间,而一般获取数据需要操作的 IO 次数等于树的高度,所以减少树的高度,也就是减少 IO 次数,从而达到减少获取数据消耗的时间。
此时,假如我们要查询索引为 35 的数据:
结论:我们只通过三次 IO 操作就获取到 65 的数据,大大的节省 IO 操作的时间,这在大数据量的情况下,节省的时间更加不可想象。
为什么要选择 B+ 树
此时我们的心里的流程是这样的:如何减少获取数据的时间 —-> 减少 IO 操作 ——> 如何减少 IO 操作 —> 减少树的高度 —> 什么树能稳定的可控树的高度 —>(B 树和 B+ 树)—> 那为什么选择 B+ 树 —–> 因为 B+ 树节点不保存全部数据,因此在一页(一个节点)上能够存更加多的索引数据,让树的高度更低。
还有一点很重要:
对于组合索引,B+tree 索引是按照索引列名 (从左到右的顺序) 进行顺序排序的,因此可以将随机 IO 转换为顺序 IO 提升 IO 效率;并且可以支持 order by/group 等排序需求;适合范围查询。
另外
MySQL 还支持 Hash 索引,但是 Hash 索引只能自适应,也就是说不能由我们手动指定,只能在优化器阶段,由优化器自主优化是使用 B+tree 还是 Hash 结构的索引,因此 Hash 在此就不赘述了。
1. 最左前缀匹配原则
特性解释:
当 B+ 树的数据项是复合的数据结构,比如(name、age、sex)的时候,B+ 数是按照从左到右的顺序来建立搜索树的,比如当 (张三,20,F) 这样的数据来检索的时候,B+ 树会优先比较 name 来确定下一步的所搜方向,如果 name 相同再依次比较 age 和 sex,最后得到检索的数据;但当 (20,F) 这样的没有 name 的数据来的时候,B+ 树就不知道下一步该查哪个节点,因为建立搜索树的时候 name 就是第一个比较因子,必须要先根据 name 来搜索才能知道下一步去哪里查询。比如当 (张三,F) 这样的数据来检索时,B+ 树可以用 name 来指定搜索方向,但下一个字段 age 的缺失,所以只能把名字等于张三的数据都找到,然后再匹配性别是 F 的数据了,这个是非常重要的性质,即索引的最左匹配特性。( 引用自:https://tech.meituan.com/mysql-index.html)
通过实例来看
创建表,并建立组合索引:


上述 SQL 可以使用到 (name,age,sex) 这个索引。

上述 SQL 可以使用到 (name,age,sex) 这个索引中的 name,因为缺少 age,所以也无法使用到 sex。

上述 SQL 无法使用到 (name,age,sex) 这个索引,因为缺少最左列 name,违反了最左前缀原则。
2. 选择区分度高的列作为索引
通过
select count(Distinct columnName)/count(*) from Table
获取这个列在表中的度,度的值范围在 (0,1],度越大越好,主键索引的度为 1,一般来说,我们将度越大的列放在组合索引越左的位置上,以便于最快的速度过滤掉无效的数据。
度的值很难确定,一般需要 join 的字段我们都要求是 0.1 以上,即平均 1 条扫描 10 条记录。
3. 前缀索引
如何创建前缀索引:
ALTER TABLE person ADD KEY(name(7));
前缀索引是针对大类型字段,比如 varchar、text、blob,如果使用这样的列做索引的话,会很消耗内存资源,而且大而慢。而且 MySQL 不允许索引这些列的完整长度。
那么我们如何解决此类索引问题呢?
通常我们可以选择索引开始的部分字符,这样可以大大的节约索引空间,从而提高索引效率,但这样会降低索引的度。
那么我们如何选择前缀,使得前缀的度接近于完成列的度,而且前缀又能足够短(以便节约索引空间)。
//获取完整列的度 A
SELECT COUNT(*) cnt,name FROM person GROUP BY name ORDER BY cnt DESC;
//获取前N个字符的列的度 B
SELECT COUNT(*) cnt,LEFT(name,N) name FROM person GROUP BY name ORDER BY cnt DESC;
当 B 接近于 A 的时候,N 即为该大字段所要设置的字符长度。
前缀索引:
ALTER TABLE person ADD KEY (name (N));
前缀索引的缺点:无法使用前缀索引做 ORDER BY 和 GRUOP BY,也无法使用前缀索引做覆盖索引。
4. 索引列不能参与计算

上述 SQL 无法使用到 (name,age,sex) 这个索引,因为 name 参与了计算,所以导致整个索引都无法使用。
5. 尽量的扩展索引,不要新建索引
索引的数目不是越多越好。每个索引都需要占用磁盘空间,索引越多,需要的磁盘空间就越大。修改表时,对索引的重构和更新很麻烦。越多的索引,会使更新表变得很浪费时间。
比如:表中已经有 name 的索引,现在要加 (name,age) 的索引,那么只需要修改原来的索引即可
6. 重复索引和冗余索引
重复索引:相同列上按照相同顺序创建的相同类型的索引。
冗余索引:已有索引 (name,age),现在 创建索引 (name) 就是一个冗余索引,因为,索引 (name) 完全可以被 (name,age) 替代。然而 (name,age)、(age) 并不是 (name,age) 的冗余索引。
另外当 Id 列是主键,(name,Id) 是冗余索引,因为二级缓存的叶子节点包含了主键值。直接使用 (name) 作为索引即可。
首先我们来看下一个 SQL 的执行过程:

接下来为大家介绍一个慢查询优化神器——explain 命令。
explain 命令大家应该都很熟悉,具体使用说明大家可以参照官网 explain 官网。
然后为大家介绍慢查询优化基本步骤:
1. SQL 语句中 IN 包含的值不应过多
MySQL 对于 IN 做了相应的优化,即将 IN
中的常量全部存储在一个数组里面,而且这个数组是排好序的。但是如果数值较多,产生的消耗也是比较大的。再例如:select
id from table_name where num in (1,2,3) 对于连续的数值,能用 between 就不要用
in 了;再或者使用连接来替换。
**2. SELECT 语句尽量使用具体列代替 ***
SELECT * 增加很多不必要的消耗(CPU、IO、内存、网络带宽);增加了使用覆盖索引的可能性;当表结构发生改变时,前断也需要更新。所以要求直接在
select 后面接上字段名。
3. 当能确定查询 n 条数据的时候(n 不宜过大),使用 limit n
这是为了使 EXPLAIN 中 type 列达到 const 类型。
4.count()
count() 函数有两种含义:统计行数、统计列数。
比如:count(*) 代表统计的行数;count(talbe.cloumn) 代表统计的是这个列不为 null 的数量。
5.Union
需要将 where、order by、limit 这些限制放入到每个子查询,才能重分提升效率。另外如非必须,尽量使用 Union all,因为 union 会给每个子查询的临时表加入 distinct,对每个临时表做唯一性检查,效率较差。
6. 关联查询优化
7. 区分 in 和 exists, not in 和 not exists
in 和 exists 主要是造成了驱动顺序的改变(这是性能变化的关键),如果是 exists,那么以外层表为驱动表,先被访问,如果是 IN,那么先执行子查询。所以 IN 适合于外表大而内表小的情况;EXISTS 适合于外表小而内表大的情况。
关于 not in 和 not exists,推荐使用 not exists,不仅仅是效率问题,not in 可能存在逻辑问题。
8. 不建议使用 % 前缀模糊查询
Like "% name" 或者 LIKE "% name%",这种查询会导致索引失效而进行全表扫描。但是可以使用 LIKE "name%"。
9. 避免在 where 子句中对字段进行 null 值判断
对于 null 的判断会导致引擎放弃使用索引而进行全表扫描。
10. 分段查询
在一些查询中,可能一些查询的时间范围过大,造成查询缓慢。主要的原因是扫描行数过多。这个时候可以通过程序,分段进行查询,循环遍历,将结果合并处理进行展示。
这些优化手段只是诸多优化手段里面的很少的几种,漫漫优化路,还是需要我们在以后的实战中,慢慢积累。
本文从数据结构层面深入剖析了索引,解释为什么在众多数据结构中选择了 B+ 树,以及如何创建高性能的索引,并例举了许多大家平时开发中时常遇到的 MySQL 优化案例,希望能给大家带来帮助。